• Предмет: Алгебра
  • Автор: p2w7759nhe
  • Вопрос задан 3 года назад

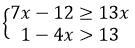
Решить систему уравнений:

Напишите один из ответов:
(∞;3)
(∞;-3)
(-∞;3)
(-∞;-3)

Приложения:

Ответы

Ответ дал: Аноним
2

Ответ на фото.............

Приложения:

p2w7759nhe: Спасибо большое)
Аноним: не стоит ❤️
Аноним: если понравился ответ, не забывай ПОДПИСЫВАТЬСЯ ☺️
Аноним: спасибо за спасибо=)
Вас заинтересует