• Предмет: Алгебра
  • Автор: andreysegaev
  • Вопрос задан 3 года назад

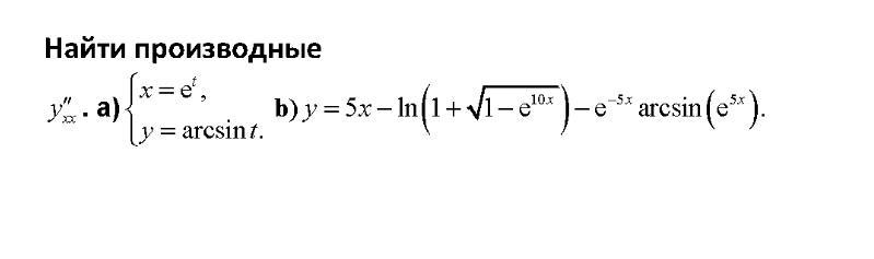
Нужно найти производные. Без разницы или а) или b) в идеале и тот и тот пожалуйста)

Приложения:

Ответы

Ответ дал: natalyabryukhova
0

Ответ:

================================

Объяснение:

Приложения:
Вас заинтересует