• Предмет: Алгебра
  • Автор: rumik525
  • Вопрос задан 3 года назад

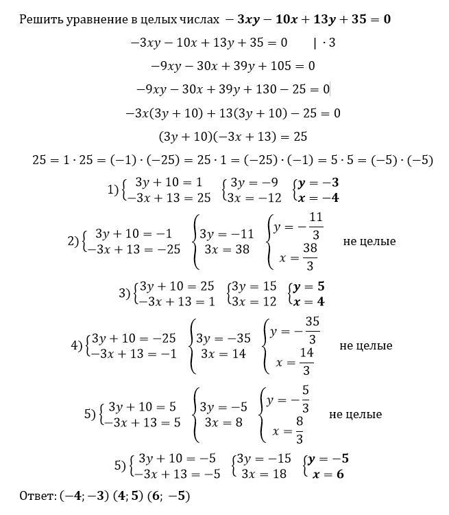
Решите в целых числах уравнение −3 xy−10x+13y+35=0.

Если решений несколько, каждое решение (,) введите в отдельное поле ввода, разделив числа пробелом (сначала , потом ). Например, если решением является =10, =−9, то нужно ввести «10 -9» (без кавычек).

Ответы

Ответ дал: tamarabernukho
16

Ответ:

Объяснение:

...........................................................

Приложения:

rumik525: спасибо большое)!
Вас заинтересует