• Предмет: Математика
  • Автор: andrei85example
  • Вопрос задан 3 года назад

Помогите пожалуйста по Математике. Срочно.

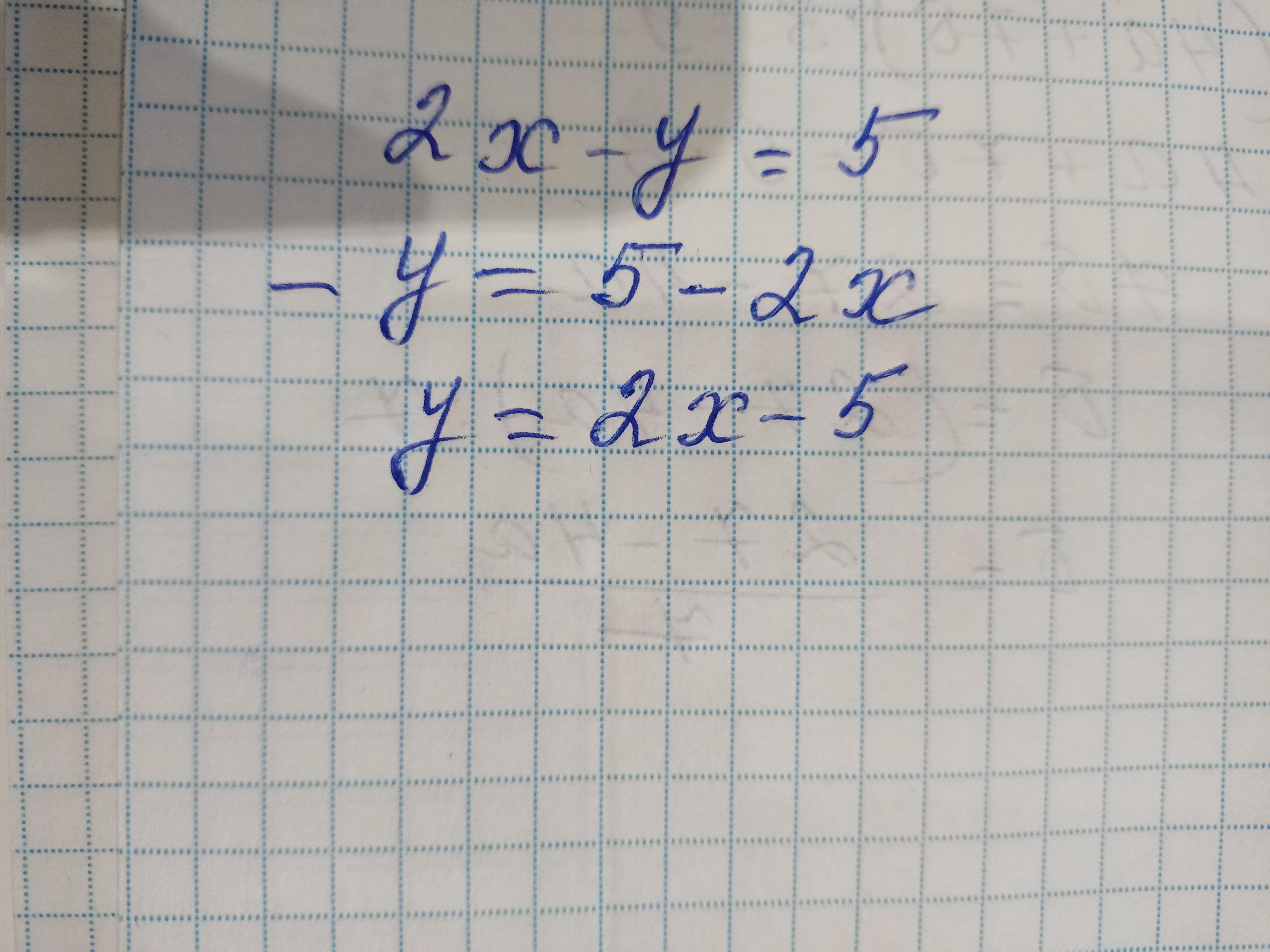
Выразите переменную у через переменную х в выражении:

2х - у = 5​​

Ответы

Ответ дал: Сева0606
1

Ответ:

Пошаговое объяснение:

Приложения:

andrei85example: а какое тогда верное?
Аноним: Это точно такое же решение,как выше,только другим способом записано,оба решения правильны
Сева0606: Что за ерунду Вы пишите.Здесь нет другого способа)
Вас заинтересует