• Предмет: Алгебра
  • Автор: trevor913
  • Вопрос задан 3 года назад

помогите пожалуйста!!

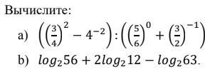
Приложения:

Ответы

Ответ дал: MatemaT123
1

Ответ:

0,3; \quad 7;

Объяснение:

a) \quad ((\frac{3}{4})^{2}-4^{-2}):((\frac{5}{6})^{0}+(\frac{3}{2})^{-1})=(\frac{3^{2}}{4^{2}}-\frac{1}{4^{2}}):(1+\frac{2}{3})=(\frac{9}{16}-\frac{1}{16}):(\frac{3}{3}+\frac{2}{3})=

=\frac{8}{16}:\frac{5}{3}=\frac{1}{2} \cdot \frac{3}{5}=\frac{1 \cdot 3}{2 \cdot 5}=\frac{3}{10}=0,3;

b) \quad log_{2}56+2log_{2}12-log_{2}63=log_{2}56+log_{2}(12^{2})-log_{2}63=log_{2}56+log_{2}144-

-log_{2}63=log_{2}\frac{56 \cdot 144}{63}=log_{2}\frac{8 \cdot 144}{9}=log_{2}(8 \cdot 16)=log_{2}(2^{3} \cdot 2^{4})=log_{2}(2^{3+4})=

=log_{2}(2^{7})=7;

Ответ дал: djsjf30
0
1) 9/16 - 1/16 = 8/16 = 1/2

а) 1 + 2/3 = 5/3

1/2 : 5/3 = 1/2 * 3/5 = 3/10 = 0,3.


б) log2 ((56*144)/63) = log2(128) = 7.

Ответ: а) 0,3; б) 7.
Вас заинтересует