• Предмет: Математика
  • Автор: blablablaaaa191
  • Вопрос задан 3 года назад

Помогите пожалуйста
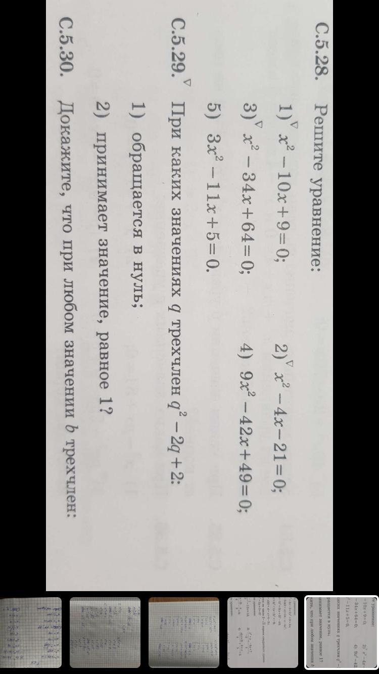
Задание: С.5.28

Приложения:

sangers1959: Решать через дискриминант или путём разложения на множители?
blablablaaaa191: Дискриминант

Ответы

Ответ дал: ildar502020
1

Ответы в решении.

Пошаговое объяснение:

x²-10x+9=0;

По теореме Виета:

x1+x2=10;  x1*x2=9;

x1= 9;   x2= 1.

***

2)  x²-4x-21=0;

По теореме Виета:

x1+x2=4;  x1*x2=-21;

x1=7;   x2= -3.  

***

3.  x²-34x+64=0;

По теореме Виета

x1+x2=34;  x1*x2=64;

x1=32;  x2=2.

***

4)  9x²-42x+49=0;

a=9;  b=-42;  c=49;

D=b²-4ac=(-42)²-4*9*49=1764-1764=0  - два равных корня.

x1=x2=-b/2a=-(-42)/2*9=42/18=2  6/18=  2  1/3.

***

5.  3x²-11x+5=0.

a=3;  b=-11;  c=5.

D=b²-4ac=(-11)²-4*3*5=121-60=61>0 - 2 корня

x1=(-b+√D)/2a=(-(-11)+√61)/2*3=(11+√61)/6.

x2=(-b-√D)/2a=(-(-11)-√61)/2*3=(11-√61)/6.

Вас заинтересует