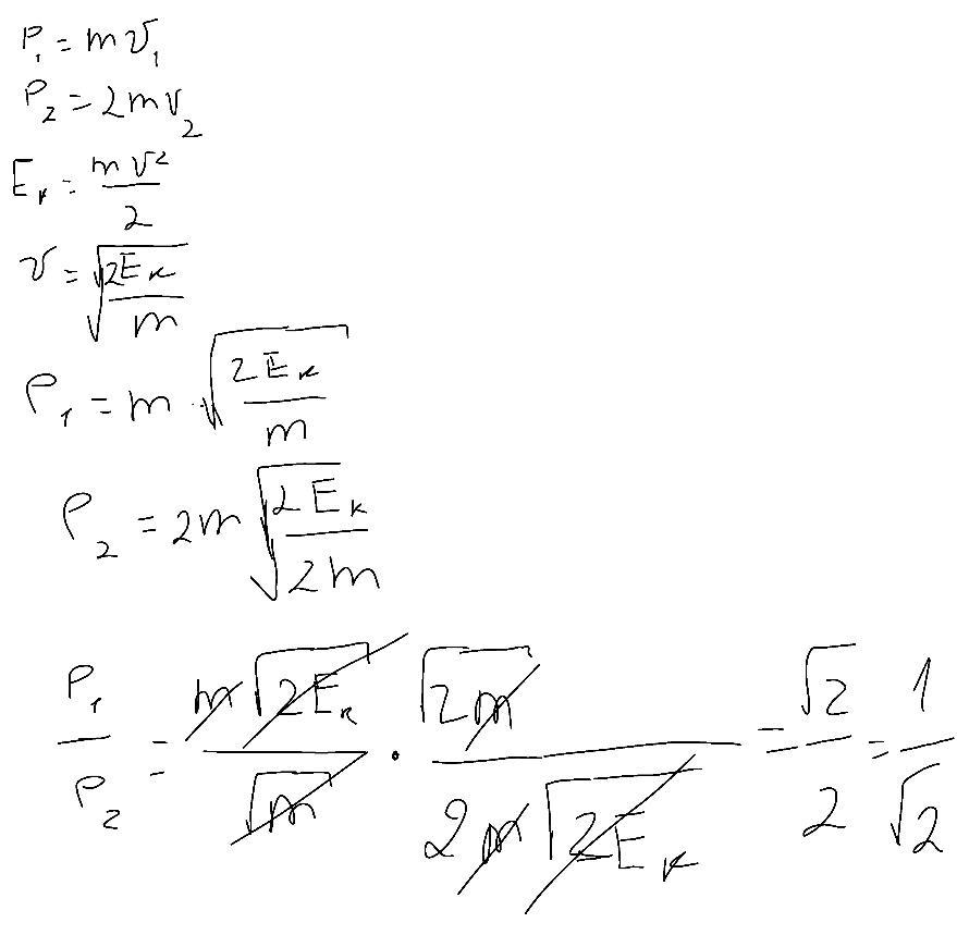
кинетические энергии шариков равны. вычислите отношения р1/р2 их импульсов
помогите решить, пожалуйста
Приложения:

Ответы
Ответ дал:
1
Кривовато конечно, но надеюсь поймёшь
Ответ: D
Приложения:

mariamka4100:
спасибо!
Вас заинтересует
2 года назад
2 года назад
7 лет назад
7 лет назад
9 лет назад
9 лет назад