• Предмет: Математика
  • Автор: yuri000015
  • Вопрос задан 3 года назад

помогитееее
докажите тождевства​

Приложения:

Ответы

Ответ дал: TheDeformaZz
1

Ответ:

===========================

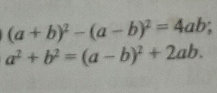
(a + b)^2 - (a - b)^2 = 4ab

раскрываем скобки по ФСУ

a^2 + 2ab + b^2 - (a^2 - 2ab + b^2) = a^2 + 2ab + b^2 - a^2 + 2ab - b^2 = 4ab

(a^2 и -a^2 , b^2 и -b^2 взаимно уничтожились)

4ab = 4ab

тождество доказано

===========================

a^2 + b^2 = (a - b)^2 + 2ab

раскрываем скобки по ФСУ

a^2 + b^2 = a^2 - 2ab + b^2 + 2ab

(-2ab и 2ab взаимно уничтожились)

a^2 + b^2 = a^2 + b^2

тождество доказано

===========================


yuri000015: ой а ^ это что
yuri000015: а?
TheDeformaZz: степень
yuri000015: ой точно
yuri000015: спасибо~
Ответ дал: parus77
1

Ответ:чтобы доказать тождество ,надо выполнить преобразавания,чтобы левая и правая части равенства стали одинаковыми.

Пошаговое объяснение:

(а+в)² - (а - в)²=4ав   преобразуем левую часть

(а+в)² - (а - в)²=а² +2ав +в²-( а²-2ав + в²)=а² +2ав +в²- а²+2ав - в²=а²- а²+в²-в²+2ав +2ав=4ав

а²+в²=(а-в)²+2ав     преобразуем правую часть

(а-в)²+2ав = а²-2ав +в²+2ав=а²+в²

Вас заинтересует