• Предмет: Математика
  • Автор: Emowka184
  • Вопрос задан 3 года назад

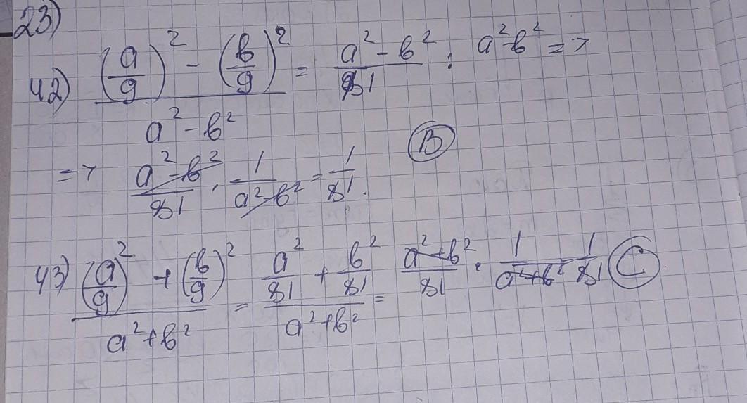
Помогите пожалуйста с 42 или 43

Приложения:

Ответы

Ответ дал: СуперМауся
1

Ответ:

.............. ......

Приложения:
Вас заинтересует