• Предмет: Алгебра
  • Автор: bajida
  • Вопрос задан 3 года назад

Помогите решить!!!Даю 30 баллов

Приложения:

Ответы

Ответ дал: TheDeformaZz
0

Ответ:

x = 1

Объяснение:

=================================

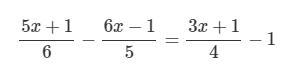
((5x + 1) / 6) - ((6x - 1) / 5) = ((3x + 1) / 4) - 1

домножим всё выражение на 60

первую дробь умножим на 10

вторую на 12

третью на 15

и 1 умножим на 60

получим

10(5x + 1) - 12(6x - 1) = 15(3x + 1) - 60

раскрываем скобки

50x + 10 - 72x + 12 = 45x + 15 - 60

переносим x в левую часть,числа в правую

50x - 72x - 45x = 15 - 60 - 10 - 12

-67x = -67

x = -67/-67

x = 1

=================================

Ответ дал: Пеппер
0

Ответ:

х=1

Объяснение:

(5х+1)/6 - (6х-1)/5 = (3х+1)/4 -1

50х+10-72х+12=45х+15-60

-67х=-67

х=1

Вас заинтересует