• Предмет: Алгебра
  • Автор: maria46382
  • Вопрос задан 3 года назад

помогите пожалуйста решите 10-18 умоляю даю 20 баллов

Приложения:

Ответы

Ответ дал: coner46
1

Ответ:

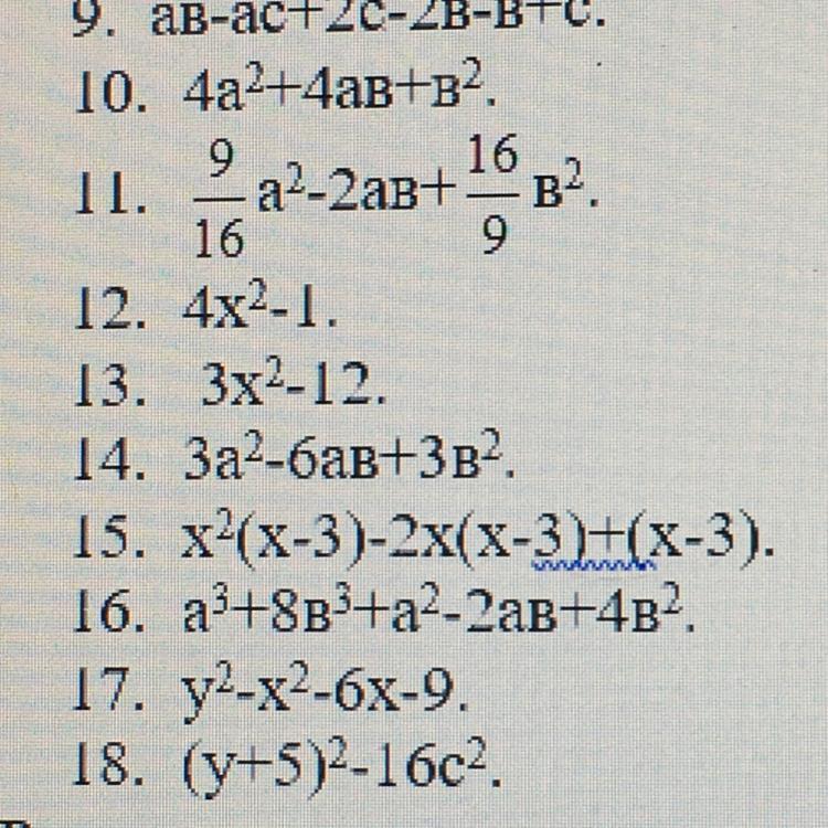
10. 4a²+4ab+b² = (2a+b)²

11. (9/16)a²-2ab+(16/9)b² = (1/144)(81a²-2ab+256b²) = (1/144)(9a-16b)²

12. 4x²-1 = (2x-1)(2x+1)

13. 3x²-12 = 3(x²-4) = 3(x-2)(x+2)

14. 3a²-6ab+3b² = 3(a²-2ab+b²) = 3(a-b)²

15. x²(x-3)-2x(x-3)+(x-3) = (x-3)(x²-2x+1) = (x-3)(x-1)²

16. a³+8b³+a²-2ab+4b² = (a+2b)(a²-2ab+4b²)+a²-2ab+4b² = (a+2b+1)(a²-2ab+4b²)

17. y²-x²-6x-9 = y²-(x²+6x+9) = y²-(x+3)² = (y-(x+3)(y+(x+3)) = (y-x+3)(y+x+3)

18. (y+5)²-16c² = (y+5-4c)(y+5+4c)

Объяснение:

(a±b)² = a²±2ab+b²

a²-b² = (a-b)(a+)

a³+b³ = (a+b)(a²-ab+b²)

a³-b³ = (a-b)(a²+ab+b²)

Вас заинтересует