ПЖ ПЖ ПЖ ПЖ ПЖ ПЖ ПЖ ПЖ....C++ КОД

Приложения:

Ответы

Ответ дал: Arkassssha
1

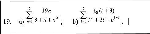
а) Код программы:

#include <iostream>

#include <locale>

#include <time.h>

using namespace std;

int main()

{

setlocale(LC_ALL, "Russian");

int n;

double sum = 0;

for (n = 1; n <= 9; n++) {

 sum += 19. * n / (3 + n + n * n);

}

cout << sum << endl;

}

б) Код программы:

#include <iostream>

#include <locale>

#include <time.h>

using namespace std;

int main()

{

setlocale(LC_ALL, "Russian");

int t;

double sum = 0;

for (t = 3; t <= 3; t++) {

 sum += tan(t + 3) / (t*t*t + 2 * t + exp(t - 1));

}

cout << sum << endl;

}


2001ax: Спасибо большое....Вы мне очень помогли.....
Вас заинтересует