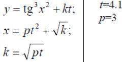
программа на С++ о вычислении функции, одно значение вводиться с клавиатуры, а другой задаётся как константа, все значения выводится на экран.
Вот что вышло у меня (нужна помощь)
#include
#include
using namespace std;
int main()
{
setlocale(0,"");
int p,k,x,y,t;
t = 4,1;
cout > p;
k = sqrt(p*t);
x = (p*(pow(t,2)) + sqrt(k);
y = ((pow(tan,3)) * (pow(,2)))+(k*t);
cout << endl << "k = "<< k <
cout << endl << "x = "<< x <
cout << endl << "y = "<< y <
return 0;
}
Приложения:

Ответы
Ответ дал:
0
Код программы:
#include <iostream>
#include <locale>
#include <time.h>
using namespace std;
int main()
{
setlocale(LC_ALL, "Russian");
double y, x, k, t, p;
t = 4.1;
cout << "Введите значение переменной p = ";
cin >> p;
k = sqrt(p*t);
x = p * t*t + sqrt(k);
y = pow(tan(pow(x, 2)), 3) + k * t;
cout << "y = " << y << "\nx = " << x << "\nk = " << k << endl;
return 0;
}
Вас заинтересует
2 года назад
2 года назад
2 года назад
2 года назад
7 лет назад
9 лет назад