• Предмет: Математика
  • Автор: Аноним
  • Вопрос задан 3 года назад

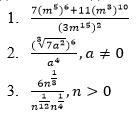
Найдите значения выражений

Приложения:

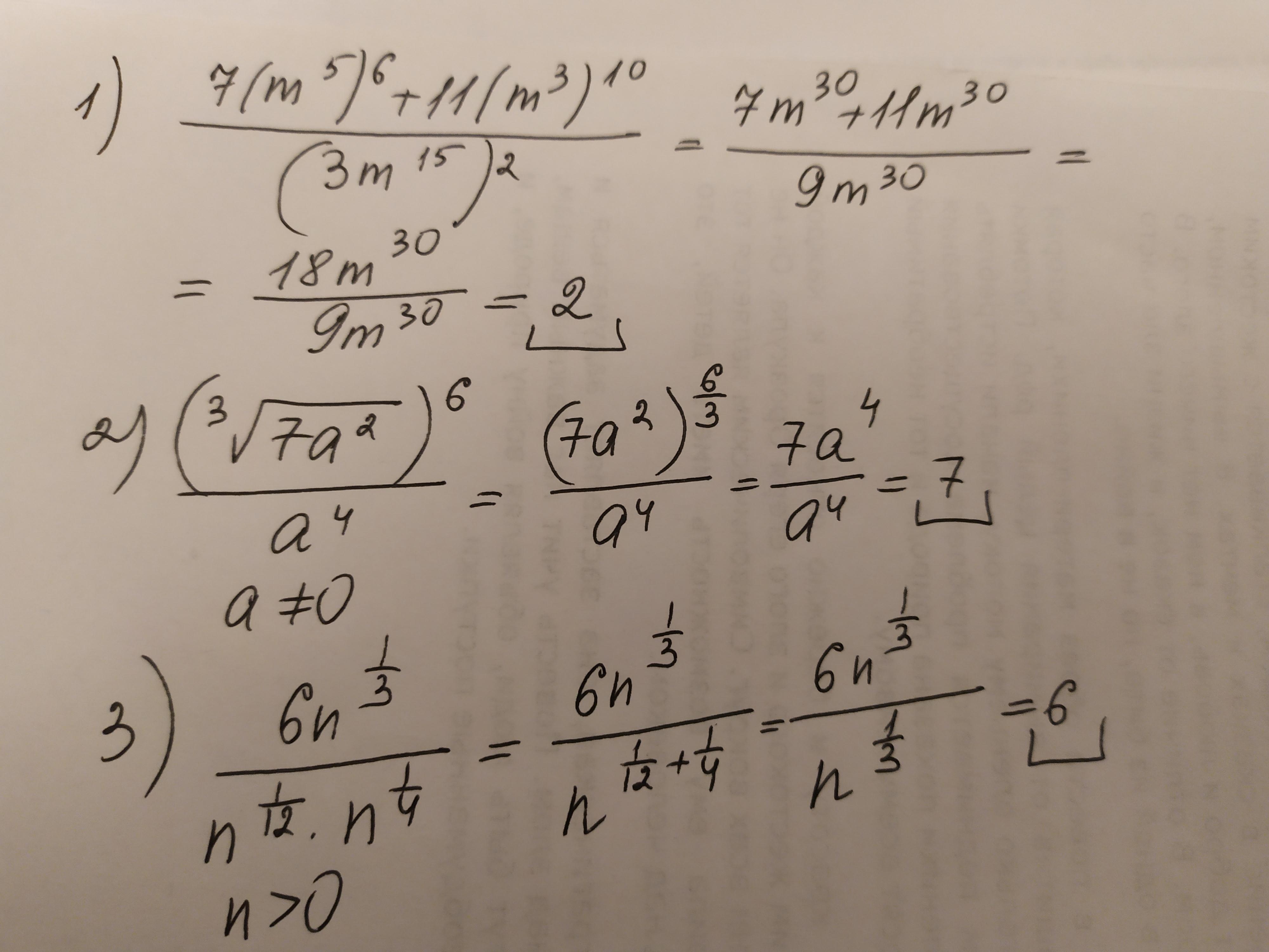
Ответы

Ответ дал: solyanine
1

Ответ:

Пошаговое объяснение:

Приложения:
Ответ дал: aydaaaaaaaaannnn
1
Ответ 6 !!!!!!!!!!!!!!!!
Вас заинтересует