• Предмет: Алгебра
  • Автор: dilnozalove2004
  • Вопрос задан 3 года назад

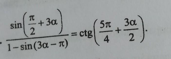
Решите пожалуйста. У меня не получается:(​

Приложения:

Ответы

Ответ дал: m11m
1

Ответ:

Объяснение:

!!!!!!!!!!!!!!!!!!!

Приложения:
Вас заинтересует