Ответы
Ответ дал:
1
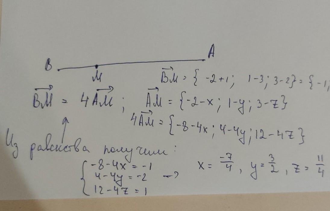
решение во вложении........
Приложения:

Вас заинтересует
2 года назад
2 года назад
2 года назад
7 лет назад
9 лет назад