Ответы
Ответ дал:
1
Ответ:
Пошаговое объяснение:
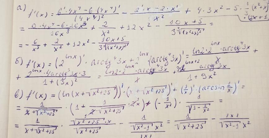
Приложения:


Ответ дал:
2
Ответ:
=======================================
Пошаговое объяснение:
Приложения:

Вас заинтересует
2 года назад
2 года назад
2 года назад
2 года назад
7 лет назад
7 лет назад
9 лет назад