Ответы
Ответ дал:
1
Пошаговое объяснение:
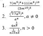
ответ на фото на фото на фото
Приложения:

Вас заинтересует
2 года назад
2 года назад
2 года назад
2 года назад
7 лет назад