Ответы
Ответ дал:
0
Ответ:
Пошаговое объяснение:
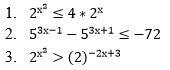
Решение дано на фото.
Приложения:


Аноним:
мне помоги алгебру пжжж!
Вас заинтересует
2 года назад
2 года назад
2 года назад
2 года назад
7 лет назад