• Предмет: Математика
  • Автор: Аноним
  • Вопрос задан 3 года назад

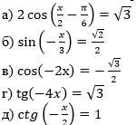
Задание 2. Решите простейшие тригонометрические уравнения

Приложения:

Ответы

Ответ дал: Miroslava227
0

Ответ:

а)

2 \cos( \frac{x}{2} -  \frac{\pi}{6}  )  =  \sqrt{3}  \\  \cos( \frac{x}{2} -  \frac{\pi}{6}  )  =  \frac{ \sqrt{3} }{2}  \\  \\  \frac{x1}{2}  -  \frac{\pi}{6}  =  \frac{\pi}{6}  + 2\pi \: n \\  \frac{x1}{2}  =  \frac{\pi}{3}  + 2\pi \: n \\ x1 =  \frac{2\pi}{3} + 4 \pi \: n \\  \\  \frac{x2}{2}  -  \frac{\pi}{6}  =  -  \frac{\pi}{6}  + 2\pi \: n \\  \frac{x2}{2}  = 2\pi \: n \\ x2 = 4\pi \: n

n принадлежит Z.

б)

 \sin( -  \frac{x}{3} )  =  \frac{ \sqrt{2} }{2}  \\  \\  -  \frac{x1}{3}  =  \frac{\pi}{4}  + 2\pi \: n \\ x1 =  -  \frac{3\pi}{4}  + 6\pi \: n \\  \\  -  \frac{x2}{3}  =  \frac{3\pi }{4}  + 2\pi \: n \\ x2 =  -  \frac{9\pi}{4}  + 6\pi \: n

n принадлежит Z.

в)

 \cos( - 2x)  =  -  \frac{ \sqrt{3} }{2}  \\  \\ 2x1 =   \frac{5 \pi}{6}  + 2\pi \: n \\ x1 =  -  \frac{5\pi}{12}  + \pi \: n \\  \\  - 2x2 =  -  \frac{5\pi}{6}  + 2\pi \: n \\ x2 =  \frac{5\pi}{12} +  \pi \: n

n принадлежит Z.

г)

tg( - 4x) =  \sqrt{3}  \\  - 4x =  \frac{\pi}{3}  + \pi \: n \\ x =  -  \frac{\pi}{12}  +  \frac{\pi \: n}{4}

n принадлежит Z.

д)

ctg( -  \frac{x}{2} ) = 1 \\  \cos( -  \frac{x}{2} )  = 1 \\  -  \frac{x}{2}  = 2\pi \: n \\ x = -  4\pi \: n

n принадлежит Z.

Вас заинтересует