• Предмет: Математика
  • Автор: Аноним
  • Вопрос задан 3 года назад

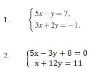
Задание 4. Решите системы линейных уравнений способом подстановки

Приложения:

Ответы

Ответ дал: koivvit2005
0

Ответ:

В фото

Пошаговое объяснение:

Приложения:
Вас заинтересует