• Предмет: Алгебра
  • Автор: adelyafoxlisa
  • Вопрос задан 3 года назад

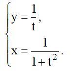
Помогите пожалуйста с математикой! Найти вторую производную функции y(x):

Приложения:

Ответы

Ответ дал: Miroslava227
1

Ответ:

y'x =  \frac{y't}{x't}  \\

y''xx =  \frac{(y'x)'t}{x't}  \\

y't =   -  {t}^{ - 2}  =  -  \frac{1}{ {t}^{2} }  \\

x't =  -  {(1 +  {t}^{2}) }^{ - 2}  \times 2t =  \\  =  -  \frac{2t}{ {(1 +  {t}^{2} )}^{2} }

y'x =  \frac{ -  \frac{1}{ {t}^{2} } }{ -  \frac{2t}{ {(1 +  {t}^{2} )}^{2} } }  =  \frac{1}{ {t}^{2} }  \times  \frac{ {( {t}^{2}  + 1)}^{2} }{2t}  =  \\  =  \frac{ {( {t}^{2}  + 1)}^{2} }{2 {t}^{3} }

(y'x)'t =  \frac{2( {t}^{2}  + 1) \times 2t \times 2 {t}^{3} - 6 {t}^{2}   {( {t}^{2}  + 1)}^{2} }{4 {t}^{6} }  =  \\  =  \frac{( {t}^{2}  + 1) \times 2 {t}^{2}(4 {t}^{2}  - 3( {t}^{2}    + 1))}{4 {t}^{6} }  =  \\  =  \frac{( {t}^{2} + 1)(4 {t}^{2}  - 3 {t}^{2}  - 3) }{2 {t}^{4} }  =  \\  =  \frac{ ({t}^{2} + 1) ( {t}^{2} - 3) }{2 {t}^{4} }

y''xx =  \frac{( {t}^{2}  + 1)( {t}^{2}  - 3)}{2 {t}^{4} }  \times ( -  \frac{ {( {t}^{2}  + 1)}^{2} }{2t} ) =  \\  =  -  \frac{ {( {t}^{2}  + 1)}^{3} ( {t}^{2}  - 3)}{4 {t}^{5} }


adelyafoxlisa: Спасибо большое! Не поможете вот с этим пожалуйста? https://znanija.com/task/41734396
Вас заинтересует