• Предмет: Алгебра
  • Автор: irinaemir12
  • Вопрос задан 3 года назад

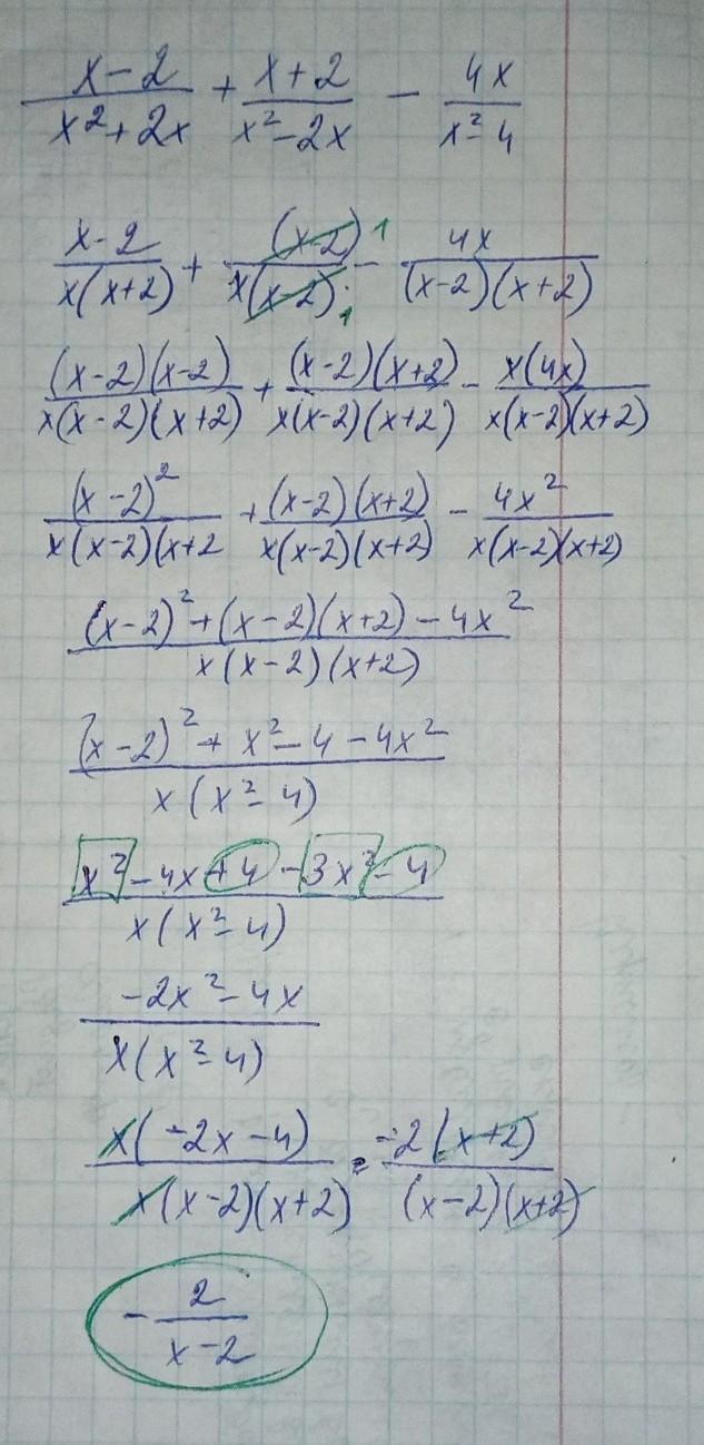
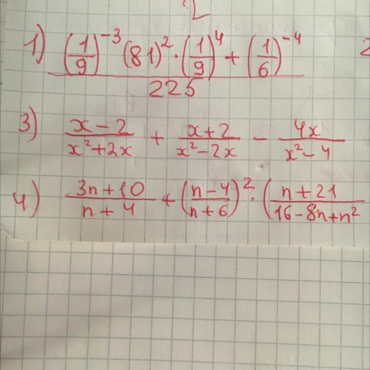
Здравствуйте помогите пожалуйста с 3) примером спасибо ☺️

Приложения:

Ответы

Ответ дал: Аноним
1

Ответ:

Ответ на фото...............

Приложения:

Аноним: если понравился ответ, не забывай ПОДПИСЫВАТЬСЯ ☺️
Вас заинтересует