• Предмет: Математика
  • Автор: aneldilmukhan
  • Вопрос задан 3 года назад

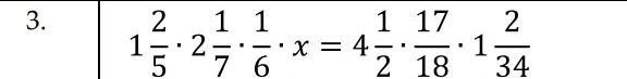
прошу помогите у меня соч
умоляю просто.​(если что 5 класс)

Приложения:

Ответы

Ответ дал: solyanine
1

Ответ:

Пошаговое объяснение:

Приложения:

aneldilmukhan: Спасибо:)
Ответ дал: Сева0606
1

Ответ:

Пошаговое объяснение:

Приложения:

aneldilmukhan: спасибки
Вас заинтересует