• Предмет: Математика
  • Автор: Miserablel
  • Вопрос задан 3 года назад

ПЖ ПЖ ПОМОГИТЕ!
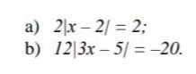
Решите уравнение!​

Приложения:

Ответы

Ответ дал: ksushamuz
0

Ответ:

Пошаговое объяснение:

это же модули?

Приложения:
Ответ дал: sasadada60
0

Ответ:

задание (в) не имеет решения

Приложения:
Вас заинтересует