• Предмет: Алгебра
  • Автор: hdjdjjdj87789
  • Вопрос задан 3 года назад

Помогитеее срочноооооооооо пж если можно полное решение

Приложения:

Ответы

Ответ дал: ekalysenko10
0

Объяснение:

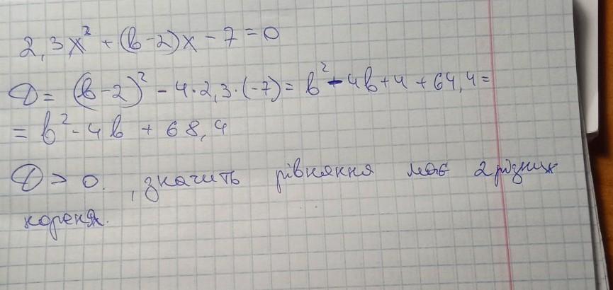
два кореня,бо дискримінант більше за нуль

Приложения:
Вас заинтересует