ОЧЕНЬ СРОЧНО 30 БАЛЛОВ С РЕШЕНИЕМ И ФОТО с рисунком
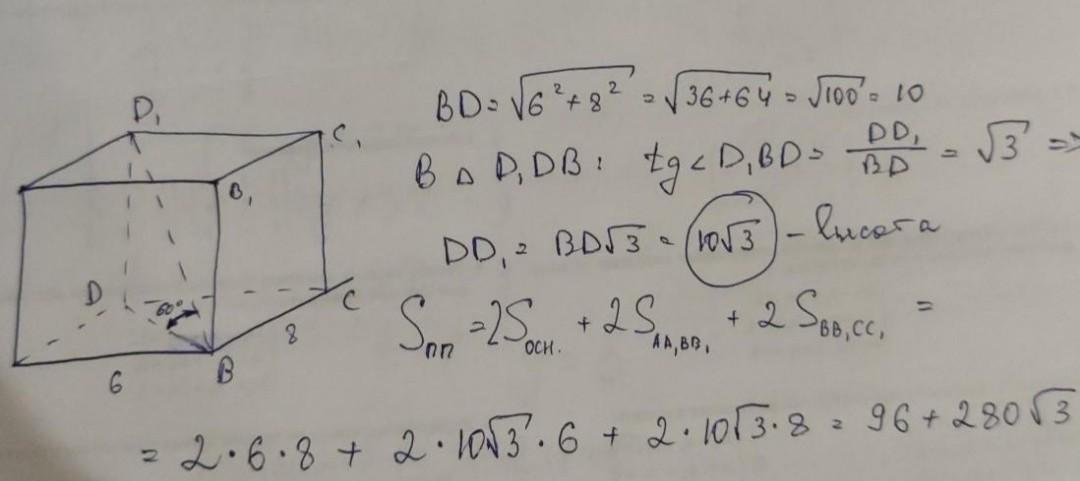
Дан прямоугольный параллелепипед ,стороны основания которого 6 см и 8 см . Диагональ параллелепипеда с плоскостью основания образует угол 60 градусов. Вычислить высоту параллелепипеда.
Ответы
Ответ дал:
0
Решение во вложении..........
Приложения:

Вас заинтересует
2 года назад
2 года назад
2 года назад
7 лет назад
7 лет назад