помогите с алгеброй!!!!!!!!!!!!!!!!!!
1. Преобразуйте выражение, чтобы получить многочлен в стандартном виде (необходимо указывать все промежуточные преобразования). Укажите степень полученного многочлена.
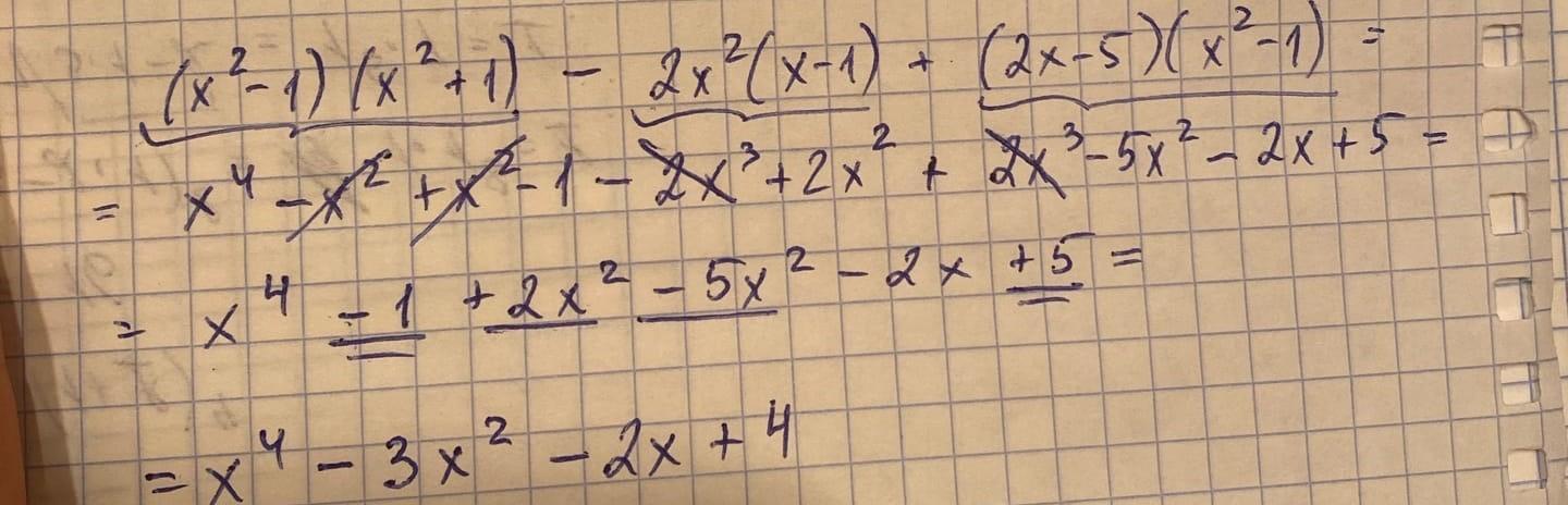
(х2 − 1)(х2 + 1) − 2х2(х − 1)+(2х − 5)(х2 − 1)
2. Составьте математическую модель задачи и решите ее:
Прогулочный катер движется по течению реки в два раза быстрее, чем против течения. В стоячей воде за 4 часа катер проходит на 6 км больше, чем за 2 часа по течению. Найдите скорость катера в стоячей воде и скорость течения.
Ответы
Ответ дал:
9
Ответ:
1. Многочлен четвертой степени
Объяснение:
Приложения:


Вас заинтересует
2 года назад
2 года назад
7 лет назад
7 лет назад
9 лет назад