• Предмет: Математика
  • Автор: armanmuhamedrahimov0
  • Вопрос задан 3 года назад

Пожалуйста помогите, срочно нужно

Приложения:

Ответы

Ответ дал: manyny06
0

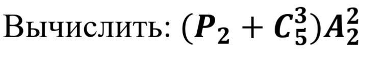
Ответ:

решение на фотографии

Приложения:
Вас заинтересует