• Предмет: Алгебра
  • Автор: sobakazabiyaka
  • Вопрос задан 3 года назад

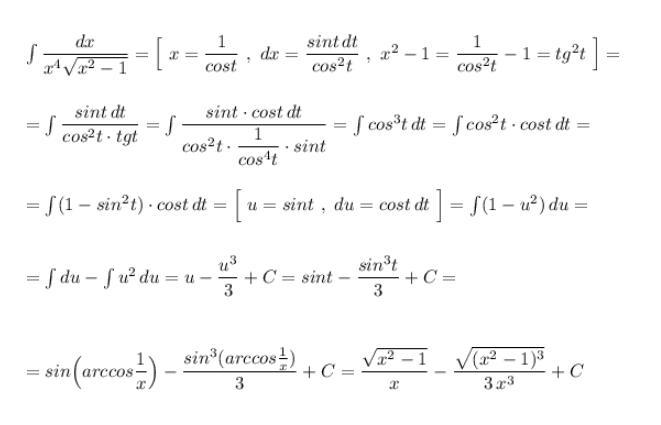
Найти неопределенный интеграл
\frac{dx}{x^4\sqrt{x^2-1} }

Ответы

Ответ дал: NNNLLL54
1

...............................................................................................................................

Приложения:
Вас заинтересует