• Предмет: Алгебра
  • Автор: MADIK337
  • Вопрос задан 3 года назад

Задание No 4
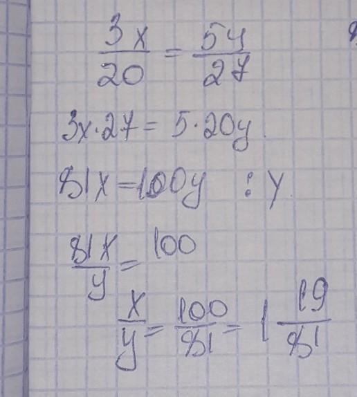
Найти отношение x: у из выражения 3x : 20 = 5у : 27.
A 4:9
B9:4
C100:81
D81:100
E3:5


MADIK337: чё так долго

Ответы

Ответ дал: СуперМауся
0

Ответ:

................ .. .надеюсь все понятно

Приложения:
Ответ дал: Amigo3
0

Ответ: 100/81, ответ С). См фото.

Объяснение:

Приложения:
Вас заинтересует