• Предмет: Математика
  • Автор: arsenbek2008
  • Вопрос задан 3 года назад

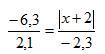
Найдите сумму корней уравнения:

Приложения:

Ответы

Ответ дал: abdullokhorunbayev
1

Ответ:

|x+2|=(-6,3)*(-2,3):2,1=6,9

x=6,9-2=4,9


arsenbek2008: спс бро
Вас заинтересует