• Предмет: Математика
  • Автор: theandr6wblog
  • Вопрос задан 3 года назад

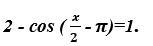
Решите уравнение изображённое на скриншоте:

Приложения:

Ответы

Ответ дал: sfbu51zhurahonovspdu
1

Ответ:

х=2п+4kп k€Z

Пошаговое объяснение:

2-(-cos(x/2))=1

cos(x/2)=-1

x/2=п+2kп

х=2п+4kп k€Z


theandr6wblog: В тетрадь я так же что ли буду записывать?
sfbu51zhurahonovspdu: да, так
theandr6wblog: оке, а с этим поможешь? https://znanija.com/task/41738872
sfbu51zhurahonovspdu: а где пример?
Вас заинтересует