• Предмет: Алгебра
  • Автор: testtestovyi2020
  • Вопрос задан 3 года назад

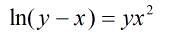
Найти производную функции с описанием шагов

Приложения:

Ответы

Ответ дал: NNNLLL54
1

Ответ:

ln(y-x)=y\, x^2\\\\\\\dfrac{1}{y-x}\cdot (y'-1)=y'\, x^2+y\cdot 2x\\\\\\\dfrac{y'}{y-x}-\dfrac{1}{y-x}-y'\, x^2=2\, x\, y\\\\y'\cdot \Big(\dfrac{1}{y-x}-x^2\Big)=2\, x\, y+\dfrac{1}{y-x}\\\\\\y'\cdot \dfrac{1-x^2y+x^3}{y-x}=\dfrac{2xy^2-2x^2y+1}{y-x}\\\\\\y'=\dfrac{2xy^2-2x^2y+1}{1-x^2y+x^3}

Ответ дал: olgaua64
1

Відповідь:

Пояснення:

Проинтегрируем бе части уравнения

1/(у-х)×(у'-1)=2ху+у'х^2

у'(1/(у-х) -х^2) = 2ху+1/(у-х)

у'=(2ху(у-х)+1)/ (1-(у-х)×х^2)

Вас заинтересует