• Предмет: Алгебра
  • Автор: Aminkashihabudinova
  • Вопрос задан 3 года назад

помогите даю 100 баллов

Приложения:

Ответы

Ответ дал: Мишкабаянов
1

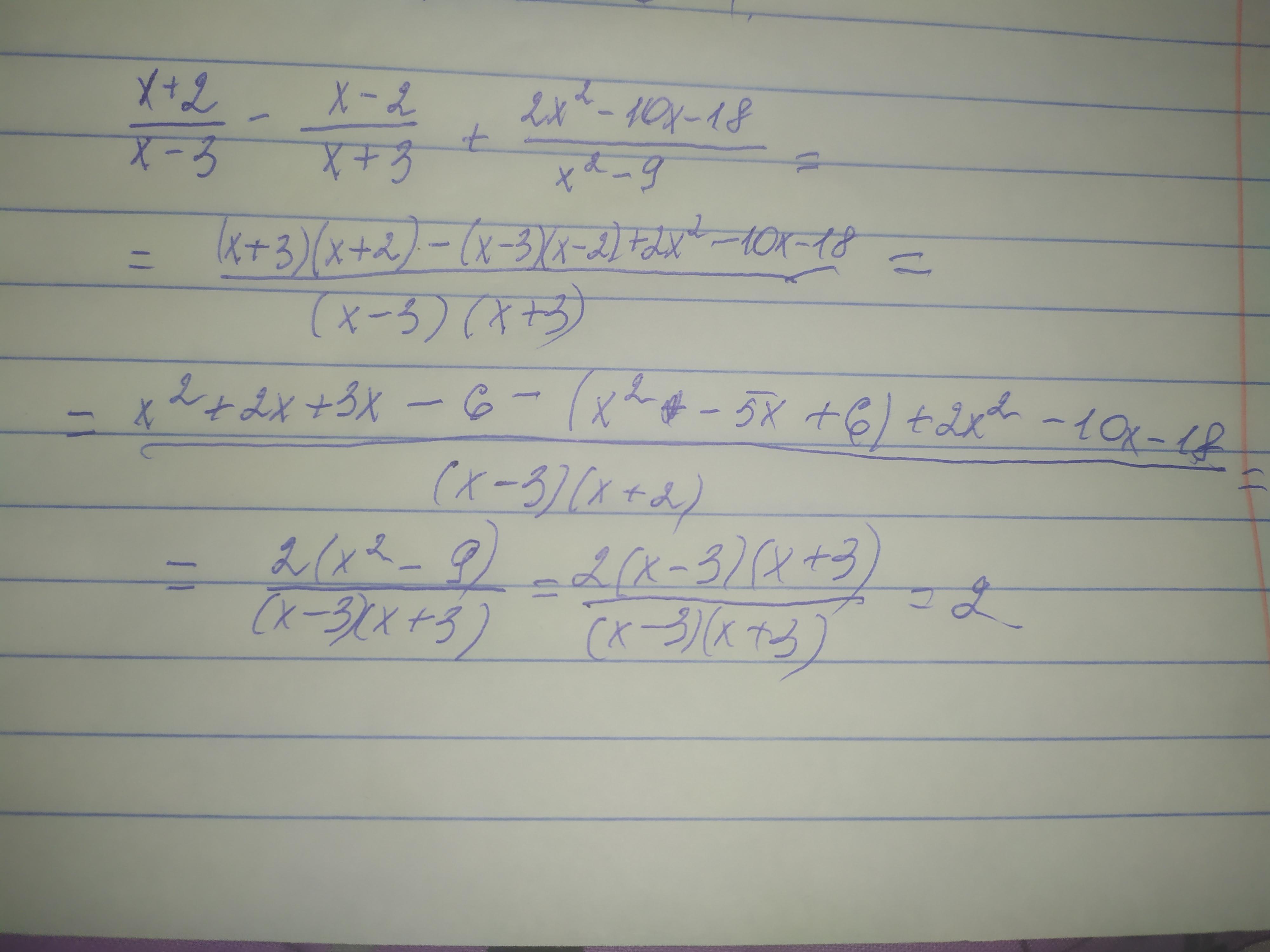
При упрощении (на фото) видим что не зависимо от значения х получается 2, но мы видим дроби, а ОДЗ дроби - знаменатель не равен нулю поэтому х-3≠0 х≠3

х+3≠0 х≠-3

х²-9≠0

х²≠9

х≠±3

Поэтому значение выражения одно и тоже при каждом значении х кроме х= 3 и х= -3

Приложения:
Вас заинтересует