Ответы
Ответ дал:
2
Ответ:
1
Пошаговое объяснение:
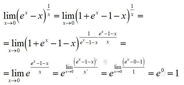
во вложении
Приложения:

Ответ дал:
2
Ответ:
Вас заинтересует
2 года назад
2 года назад
2 года назад
2 года назад
7 лет назад
9 лет назад