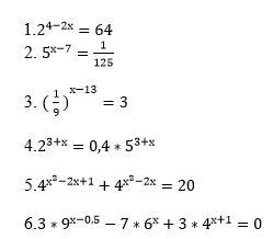
Задание 2. Найдите корни уравнений
Не только ответ но и решение пожалуйста
решите еще пожалуйста в тетради и просто фотографию прикрепите
Приложения:

Ответы
Ответ дал:
1
Ответ:
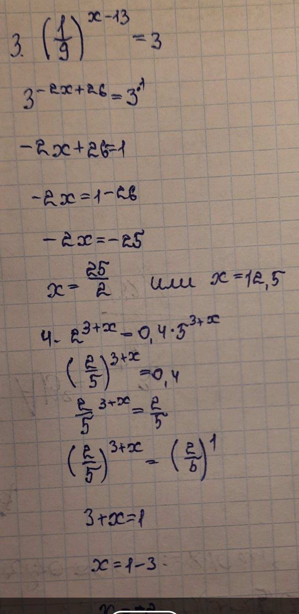
в 4 ответ x=-2
########################
Приложения:

Ответ дал:
1
Вот решение если нужно еще могу сделать просто делаю в 3 часа ночи)
Приложения:

Аноним:
если только не сложно можно еще
Вас заинтересует
2 года назад
2 года назад
7 лет назад
7 лет назад