• Предмет: Математика
  • Автор: серега1234556565445
  • Вопрос задан 3 года назад

Помогите решить задание в приложенной фотографии.

Приложения:

Ответы

Ответ дал: Аноним
1

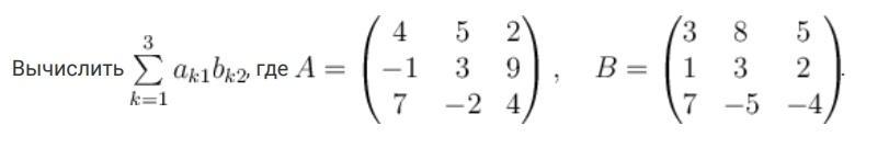
\sum_{k=1}^{3} a_{k1}b_{k2} = a_{11}\cdot b_{12} + a_{21}\cdot b_{22} + a_{31}\cdot b_{32} =

 = 4\cdot 8 + (-1)\cdot 3 + 7\cdot (-5) = 32 - 3 - 35 = 29 - 35 = -6

Вас заинтересует