• Предмет: Математика
  • Автор: aa1180
  • Вопрос задан 3 года назад

ПОМОГИТЕ ПОЖАЛУЙСТА СРОЧНО НУЖНО!!!!!!!!!!!!

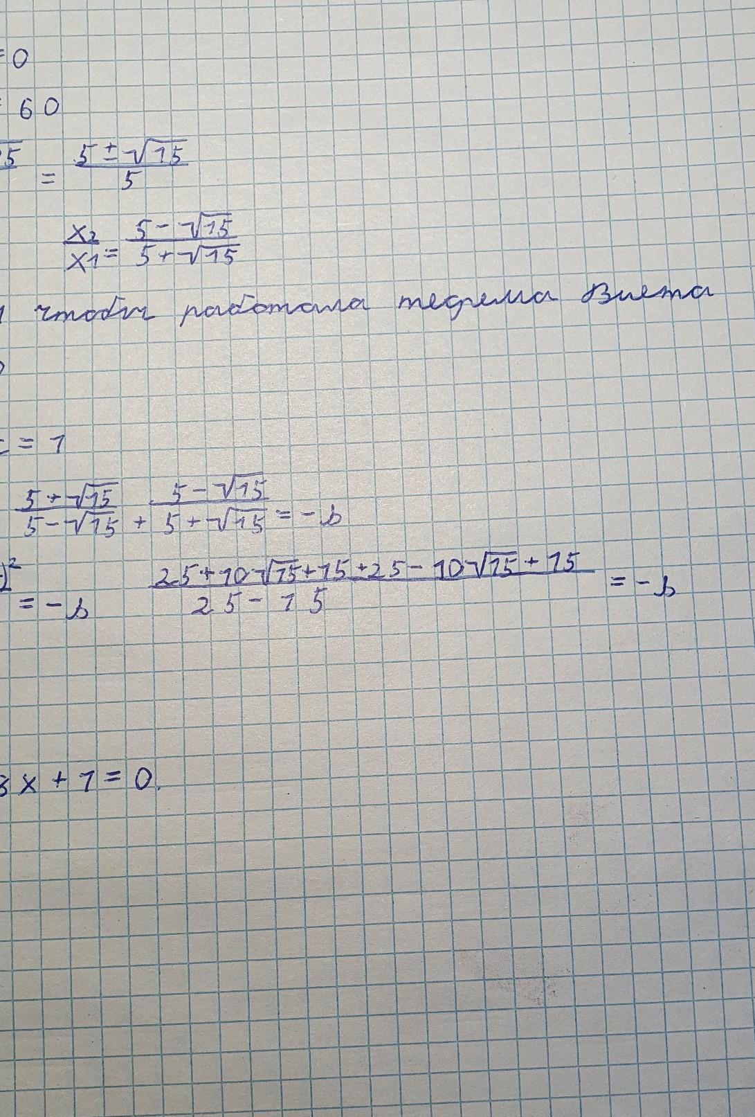
x1 и x2 являются корнями уравнения 5х²-10х+2=0. Составьте квадратное уравнение корнями х1/х2 и х2/х1.

Ответы

Ответ дал: BETDU
1

Ответ:

x^(2)-8x+1=0

Пошаговое объяснение:

1)находим корни исходного уравнения через дискриминант

2)приводим их к нужному виду

3)принимаем коэффициент а=1, чтобы работала теорема Виета

4)находим коэффициенты b и c

Приложения:
Вас заинтересует