• Предмет: Математика
  • Автор: Аноним
  • Вопрос задан 3 года назад

ПОМОГИТЕ ПОЖАЛУЙСТА!!!
ТОЛЬКО (b)​

Приложения:

Ответы

Ответ дал: solyanine
2

Ответ:

Пошаговое объяснение:

Приложения:
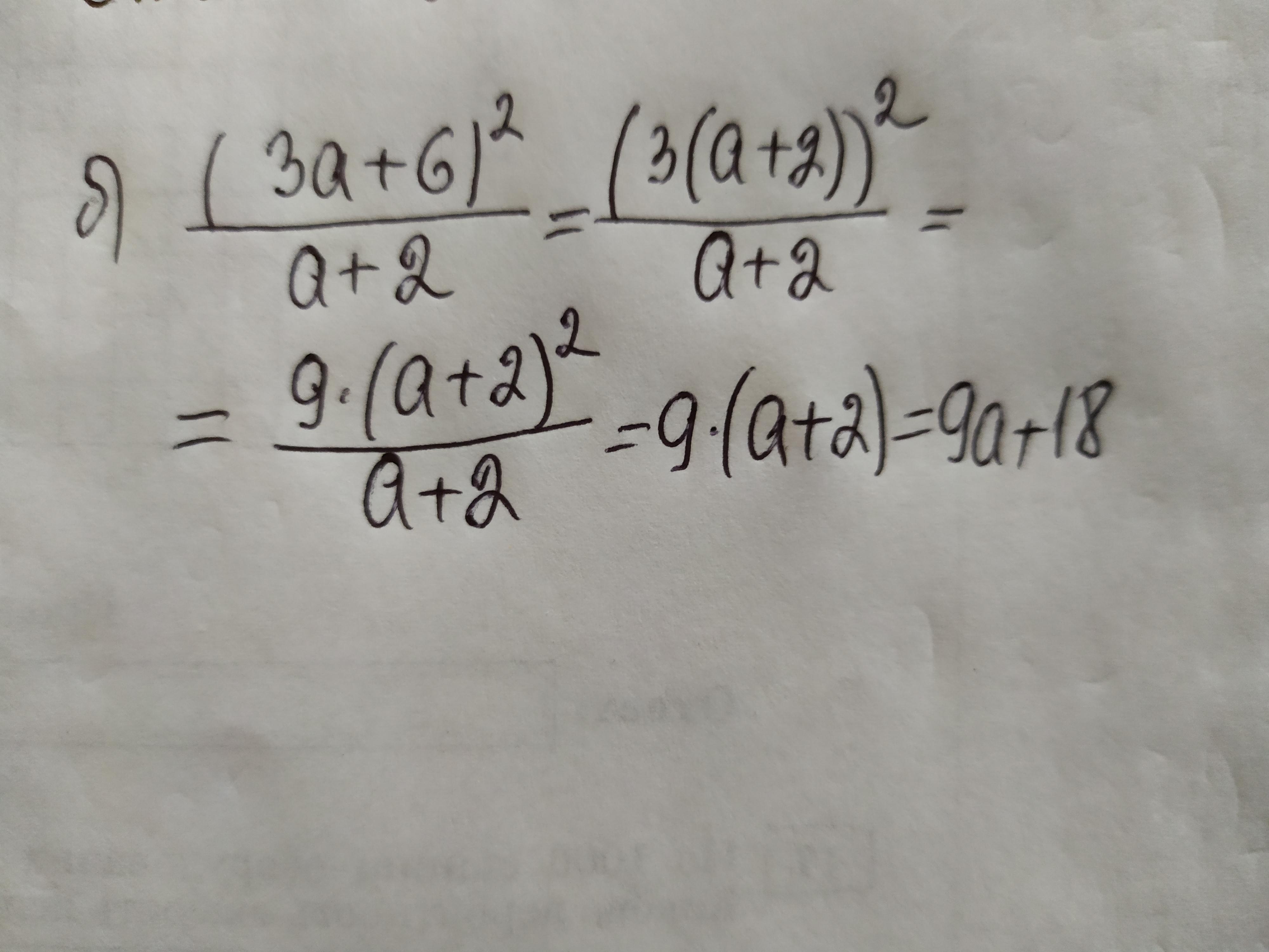
Ответ дал: riaddoktor
2

Выносим 3 из верхней ,далее сокращаем одинаковые.

 \frac{(3a + 6) {}^{2} }{a + 2}  =  \frac{(3(a + 2) {}^{2} }{a + 2}  =9(a + 2)

9а+18

Вас заинтересует