• Предмет: Математика
  • Автор: Czaryok
  • Вопрос задан 3 года назад

Исследовать на абсолютную и условную сходимость знакочередующийся ряд.

Приложения:

Ответы

Ответ дал: Аноним
1

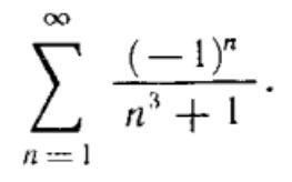
 \sum\limits_{n=1}^{\infty} \frac{(-1)^n}{n^3 + 1}

Рассмотрим абсолютную сходимость данного ряда.

\sum\limits_{n=1}^{\infty} \left| \frac{(-1)^n}{n^3 + 1} \right| =

= \sum\limits_{n=1}^{\infty} \frac{1}{n^3 + 1}

 n^3 < n^3 + 1

 \frac{1}{n^3 + 1} < \frac{1}{n^3}

Поэтому последний ряд мажорируется рядом

\sum\limits_{n=1}^{\infty} \frac{1}{n^3}, который сходится (смотри обобщённый гармонический ряд). Тогда по признаку сравнения ряд

\sum\limits_{n=1}^{\infty} \frac{1}{n^3 + 1} сходится, а ряд

\sum\limits_{n=1}^{\infty} \frac{(-1)^n}{n^3 + 1} сходится абсолютно.

Ответ. Сходится абсолютно.


Czaryok: Благодарю
Czaryok: Спасибо, можете еще с одним помочь?
https://znanija.com/task/41738593
Czaryok: https://znanija.com/task/41747498
Вас заинтересует