• Предмет: Математика
  • Автор: angelinanedoseeva134
  • Вопрос задан 3 года назад

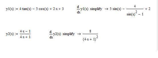
y=4tgx+5cosx+2 Очень срочно решите пожалуйста

Ответы

Ответ дал: Milkivay123
1

Ответ:

Пошаговое объяснение:

Приложения:
Вас заинтересует