• Предмет: Математика
  • Автор: Neksz
  • Вопрос задан 3 года назад

никак не могу решить, помогите пожалуйста

Приложения:

Ответы

Ответ дал: pushpull
1

Ответ:

Пошаговое объяснение:

какой странный вопрос.....

Прямая задана как пересечение двух плоскостей. Для того, чтобы она проходила через начало координат необходимо (и достаточно ), чтобы обе плоскости проходили через начало координат.

условие прохождения плоскости через начало координат, если плоскость задана общим уравнением

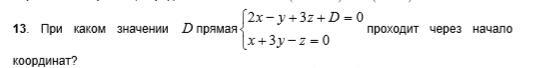
Ax + By +Cz + D=0   это     D=0

у нас для второй плоскости и так D=0, значит для первой условием является   D=0

Вас заинтересует