Ответы
Ответ дал:
1
Ответ:
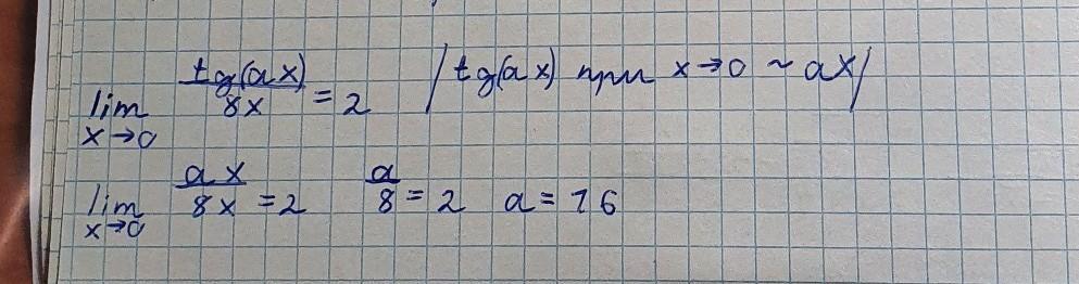
a=16
Пошаговое объяснение:
tg(ax) эквивалентно ax при x стремящимся к 0
Приложения:

Вас заинтересует
2 года назад
2 года назад
7 лет назад
7 лет назад
9 лет назад