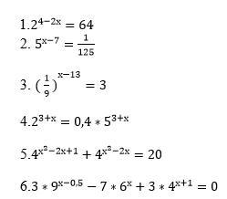
Найдите корни уравнений.
Не только ответ но и решение пожалуйста
решите еще пожалуйста в тетради и просто фотографию прикрепите
Решать только под номером 5 и 6.
Приложения:

Ответы
Ответ дал:
1
Ответ:
Пошаговое объяснение:
Приложения:



Вас заинтересует
2 года назад
2 года назад
2 года назад
2 года назад
7 лет назад
9 лет назад