• Предмет: Математика
  • Автор: Аноним
  • Вопрос задан 3 года назад

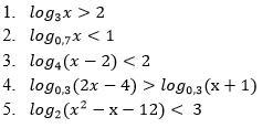
Задание 6. Решите неравенства
Не только ответ но и решение пожалуйста
решите еще пожалуйста в тетради и просто фотографию прикрепите

Приложения:

Ответы

Ответ дал: solyanine
0

Ответ:

Пошаговое объяснение:

Приложения:
Вас заинтересует