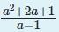
При яких значеннях змінної дріб
перетворюється на нуль?
З наведених виразів виберіть номер правильної відповіді:
1) а = 1; 2) а ≠ 1; 3) а = - 1; 4) а ≠ - 1
Приложения:

Ответы
Ответ дал:
1
Ответ:
3) а = -1; 2) а ≠ 1
Объяснение:
Упрощаем дробь
(а+1)^2 ÷ (а-1)
Исключается:
1) Так как знаменатель не может быть равен нулю, а на ноль делить нельзя
4) Так как единственный корень уравнения а^2+2а+1=0 это -1 (а= -1)
Верно:
3) а=-1 является единственным решением
2) -1≠1 ==> а≠1
Вас заинтересует
2 года назад
2 года назад
2 года назад
7 лет назад