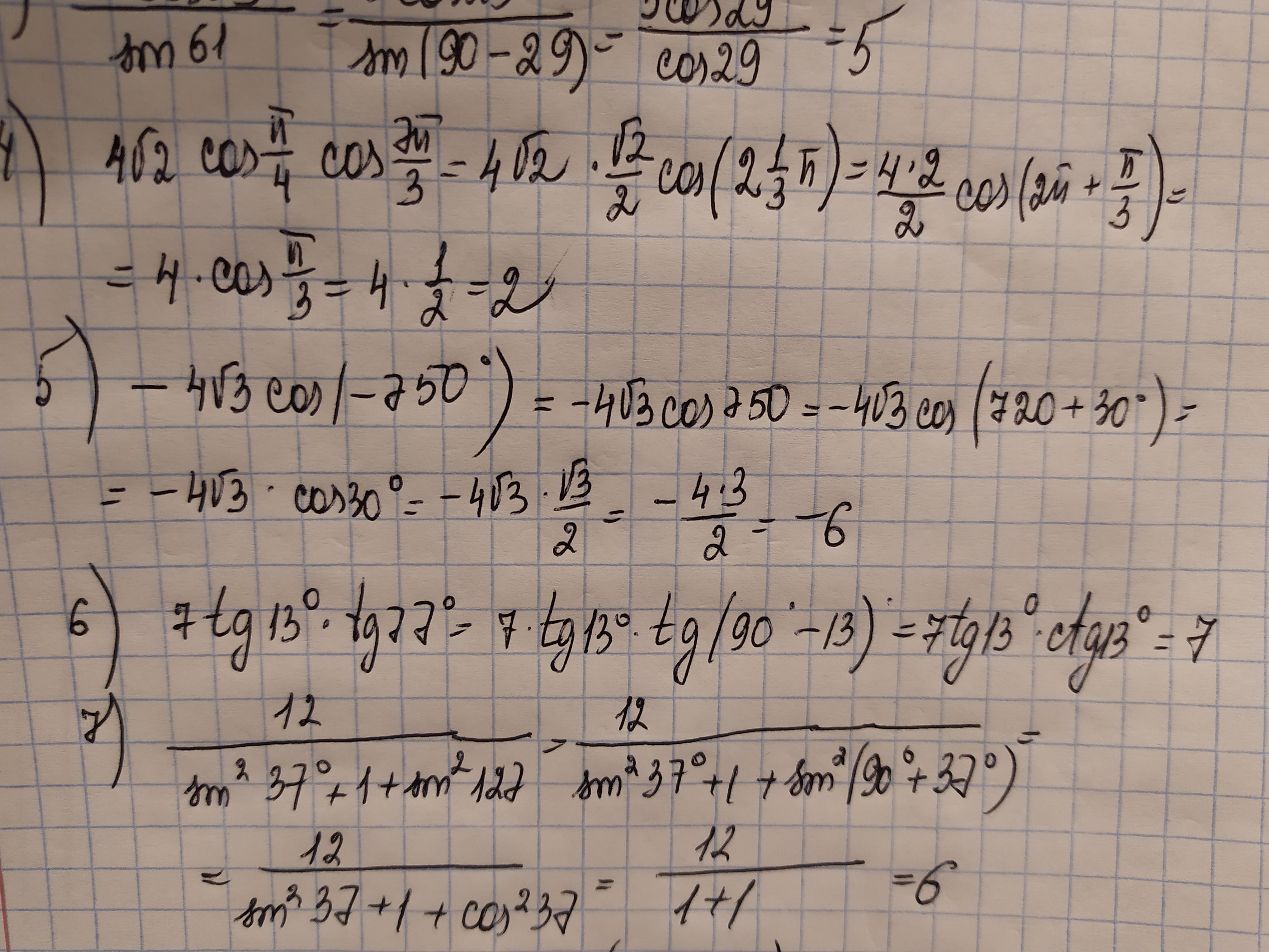
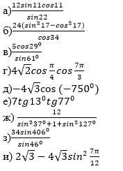
Задание 3. Найдите:
Не только ответ но и решение пожалуйста
решите еще пожалуйста в тетради и просто фотографию прикрепите
Приложения:
Ответы
Ответ дал:
0
Ответ:
Пошаговое объяснение:
Приложения:
Вас заинтересует
2 года назад
2 года назад
2 года назад
2 года назад
8 лет назад
8 лет назад
9 лет назад