Брусок массой 1.5 кг лежит на горизонтальной поверхности. В него попадает пуля, летевшая в горизонтальном направлении, и пробивает его. Масса пули равна 9г, скорость движения пули перед ударом 800 м/с, а после вылета из бруска - 150 м/с. Какой путь пройдет брусок до остановки, если коэффициент трения скольжения бруска о поверхность равен 0,2? Смещением бруска во время удара пренебречь
Ответы
Ответ:
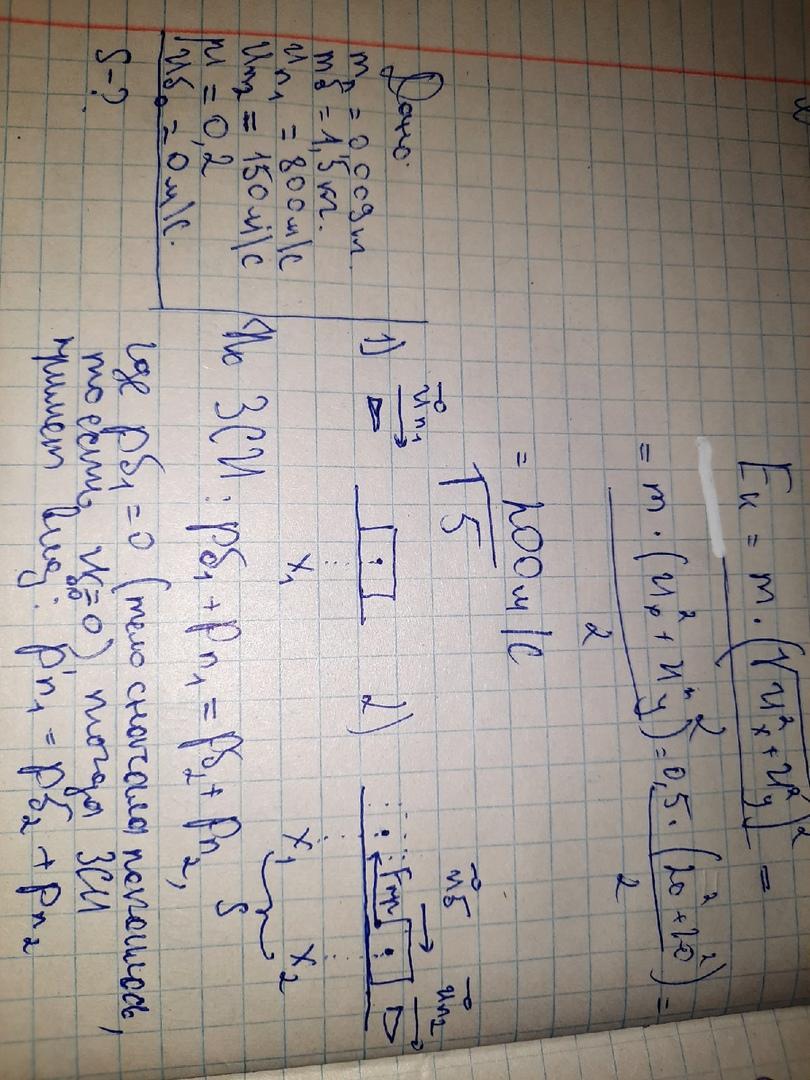
Ответ 3,8 метров. Честно говоря задача из параграфа с кинетической энергией, а реашется через ЗСИ. Для начала объясню, что и чем является на фото. mп - масса пули, mб - масса бруска, vп1 - начальная скорость пули, vп2 - конечная скорость пули, потом мю (коэффициент трения) и последнее vб0- начальная скорость бруска.
Объяснение:
Объяснение начинается со значка номера 5.
Первый случай, когда пуля летит, а брусок стоит, и начальная скорость пули 800 мс, а второй случай, когда пуля пробила брусок, тем самым брусок получил скорость, нужную нам, а пуля замедлилась, и ее скорость равна 150 м/с. Пишем закон сохранения импульсов как на фото, вместо букв импульсов ставим развернутую формулу для каждого тела (бруска и пули), то есть было pп1 (начальный импульс пули) + pб1 (начальный импульс бруска) = pб2 (конечный импульс бруска) + pп2 (конечный импульс пули) , а станет mп*vп1 + mб*vб1 = mб*vб2+mп*vп2. Короче, чекни фото. Потом видим, что до взаимодействия пули и бруска, то есть в первом случае у нас брусок покаоился, значит его начальный импульс равен 0, получаем :
mп*vп1 = mб*vб2+mп*vп2, то есть начальный импульс будет равнятся импульсу пули до столкновения тел.
Из полученной формулы выразим нужную для нас скорость бруска после пробития: vб2 = (mп*vп1 - mп*vп2) / mб, то есть мы из начального импульса вычитаем конечный импульс пули и делим на массу бруска, как на фото. Подставляем числовые значения и получаем скорость 3,9 м/с.
Поскольку брусок получил скорость, а потом остановился, то движение равноускоренное ( в данном случае равнозамедленное), тогда можем написать через 2 закон Ньютона. Как на картинке показано, во время движения бруска на него действовала только сила трения, значит ma = - Мю* N, где N = mg, тогда ma = - Мю*mg. Выразим из формулы ускорение: a = - Мю*mg / m, где у нас масса сокращается и получается: a = - Мю* g. Подставим числовые значения и получим ускорение, равное - 2 м/с^2 (это не тире, а знак минуса)
Зная ускорение, найдем перемещение по формуле нахождения перемещения: s = (Vб^2 - Vб0^2) / 2a. То есть мы вычитаем из квадрата конечной скорости квадрат начальной скорости, где у нас конечная скорость равна нулю, тогда формула примет вид:
s = (-Vб0^2)/2a. Подставим значения и получаем перемещение, равное 3,8025 метров, ну приблизительно 3,8 метров.

