• Предмет: Алгебра
  • Автор: Аноним
  • Вопрос задан 3 года назад

Нужно решить задачу !!!​

Приложения:

NNNLLL54: В 1.3 во 2 строчке системы записано произведение i*j ???
Аноним: да

Ответы

Ответ дал: NNNLLL54
4

1)\ \ \ 4\times 4\ \ ,\ \ a_{ij}=\left\{\begin{array}{l}max\{i,j\}\ ,\ \ i+j<6\ ,\\i\cdot j\ \ \ ,\ \ \ \ \ \ \ i+j\geq 6\ .\end{array}\right\\\\\\A=\left(\begin{array}{cccc}a_{11}&a_{12}&a_{13}&a_{14}\\a_{21}&a_{21}&a_{23}&a_{24}\\a_{31}&a_{32}&a_{33}&a_{34}\\a_{41}&a_{42}&a_{43}&a_{44}\end{array}\right)=\left(\begin{array}{cccc}1&2&3&4\\2&2&3&8\\3&3&9&12\\4&8&12&16\end{array}\right)

Например,

элемент матрицы  a_{23}=3  , так как  2+3=5<6\ \ \to \ \ \ max\{2,3\}=3  ,

элемент матрицы  a_{31}=3  , так как  3+1=4<6\ \ \to \ \ \ max\{3,1\}=3  ,

элемент матрицы   a_{42}=4\cdot 2=8  ,  так как  4+2=6  ,  

элемент матрицы   a_{34}=3\cdot 4=12  ,  так как  3+4=7>6  .

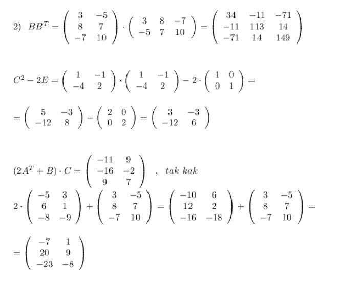
2)\ \ BB^{T}=\left(\begin{array}{cc}3&-5\\8&7\\-7&10\end{array}\right)\cdot \left(\begin{array}{ccc}3&8&-7\\-5&7&10\end{array}\right)=\left(\begin{array}{ccc}34&-11&-71\\-11&113&14\\-71&14&149\end{array}\right)

C^2-2E=\left(\begin{array}{ccc}1&-1\\-4&2\end{array}\right)\cdot \left(\begin{array}{ccc}1&-1\\-4&2\end{array}\right)-2\cdot \left(\begin{array}{ccc}1&0\\0&1\end{array}\right)=\\\\\\=\left(\begin{array}{ccc}5&-3\\-12&8\end{array}\right)-\left(\begin{array}{ccc}2&0\\0&2\end{array}\right)=\left(\begin{array}{ccc}3&-3\\-12&6\end{array}\right)

(2A^{T}+B)\cdot C=\left(\begin{array}{ccc}-11&9\\-16&-2\\9&7\end{array}\right)\ \ ,\ \ tak\ kak\\\\2\cdot \left(\begin{array}{ccc}-5&3\\6&1\\-8&-9\end{array}\right)+\left(\begin{array}{ccc}3&-5\\8&7\\-7&10\end{array}\right)=\left(\begin{array}{ccc}-10&6\\12&2\\-16&-18\end{array}\right)+\left(\begin{array}{ccc}3&-5\\8&7\\-7&10\end{array}\right)=\\\\\\=\left(\begin{array}{ccc}-7&1\\20&9\\-23&-8\end{array}\right)

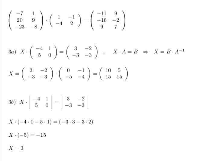
\left(\begin{array}{ccc}-7&1\\20&9\\-23&-8\end{array}\right)\cdot \left(\begin{array}{ccc}1&-1\\-4&2\end{array}\right)=\left(\begin{array}{ccc}-11&9\\-16&-2\\9&7\end{array}\right)

3a)\ \ X\cdot \left(\begin{array}{ccc}-4&1\\5&0\end{array}\right)=\left(\begin{array}{ccc}3&-2\\-3&-3\end{array}\right)\ \ ,\ \ \ \ X\cdot A=B\ \ \Rightarrow \ \ X=B\cdot A^{-1}\\\\\\X=\left(\begin{array}{ccc}3&-2\\-3&-3\end{array}\right)\cdot \left(\begin{array}{ccc}0&-1\\-5&-4\end{array}\right)=\left(\begin{array}{ccc}10&5\\15&15\end{array}\right)

3b)\ \ X\cdot \left|\begin{array}{ccc}-4&1\\5&0\end{array}\right|=\left|\begin{array}{ccc}3&-2\\-3&-3\end{array}\right|\\\\\\X\cdot (-4\cdot 0-5\cdot 1)=(-3\cdot 3-3\cdot 2)\\\\X\cdot (-5)=-15\\\\X=3

Приложения:

Аноним: извините не понимаю что написанно
NNNLLL54: перезагрузи страницу ( не с телефона) и больше не пиши такие большие задания...
Аноним: как перезагрузить?
NNNLLL54: молча ... скрин тебе сделала ...
Аноним: спасибо большое, если есть время или желание у мен еще есть вопросы без ответов....спасибо за помощь еще раз!!!!
NNNLLL54: кнопки нажимай ...
Аноним: не появился...я жду
Вас заинтересует